Pseudorapidity dependence of anisotropic flow in heavy ion collisions with ALICE

Freja Thoresen

Niels Bohr Institute

on behalf of the ALICE Collaboration

 

July 13, 2019

introduction

  • Hot and dense medium created at the LHC
  • Commonly referred to as the Quark-Gluon Plasma (QGP)
  • Difference of pressure gradients along different axes drive flow of particles
  • Gives rise to anisotropic distribution

anisotropic flow

  • Fourier decomposition of azimuthal distribution of emitted particles [Voloshin, S. et al. Z.Phys. C70 (1996)]
    \[ \frac{\mathrm{d}N}{\mathrm{d} \varphi} \propto f(\varphi) = \frac{1}{2 \pi} [1 + 2 \sum^\infty_{n=1} v_n \cos (n[\varphi - \Psi_n])]\]
  • with
    \[ v_n = \langle \cos (n [\varphi - \Psi_n]) \rangle \]

\( v_2 \)

\( v_3 \)

\( v_1 \)

\( v_4 \)

anisotropic flow

flow as a function of pseudorapidity

flow as a function of pseudorapidity

This talk:

experiment

alice

Forward Multiplicity Detector (FMD)

Time Projection Chamber (TPC)

  • FMD3: \( -3.5 < \eta < -1.7 \)
  • FMD1 & FMD2: \( 1.7 < \eta < 5.0 \)
  • Scintillator
  • \( -1.1 < \eta < 1.1 \)
  • Tracking

V0 Scintillators

  • V0A: \( 2.8 < \eta < 5.1 \)
  • V0C: \( -3.7 < \eta < -1.7 \)
  • Trigger

Inner Tracking System (ITS)

  • Triggering
  • Tracking

methods

  • \( v_n \) is calculated using the Generic Framework [Bilandzic, Ante et al., Phys.Rev. C89 (2014)]
  • Correcting for non-uniform acceptance using weights
    • \(Q_{n,p} = \sum_j w_j^p e^{in\varphi_j}\)
  • E.g. for 2-particle correlations the equations are
    • \( \langle 2 \rangle = \frac{p_{n,1} Q_{-n,1} - q_{0,2}}{p_{0,1} Q_{0,1} - q_{0,2}} \)
    • \(v_n = \sqrt{ \langle \langle 2 \rangle \rangle }\)

generic framework

  • Non-flow: short-range correlations (e.g. jets and resonance decays)
  • \(  \eta \)-gaps have shown be useful for removal of non-flow
    • using the FMD the gap can increase from \( \Delta \eta \approx 1  \) and up to \( \Delta \eta \approx 4\)
  • E.g. for two particle correlations, the gap case is


     
  • \( A \cap B = \emptyset\)

 

 

non-flow suppression using eta-gaps

How big should a \( \eta \)-gap be?

\( \langle 2 \rangle = \frac{p_{n,1}^A Q_{-n,1}^B}{p_{0,1}^A Q_{0,1}^B} \)

\( v_n\{2, |\Delta \eta |> x \} = \sqrt{\langle \langle 2  \rangle \rangle } \)

  • The purely factorizing model express the factorization as,                                               

\[  \langle v_n(\eta_a)v_n(\eta_b)  \rangle = \langle v_n(\eta_a)\rangle \langle v_n(\eta_b) \rangle \]

\[ f_2(\Delta \eta) = \langle v_n(\eta_a)\rangle / \langle v_n(\eta_b) \rangle , \Delta \eta = \eta_a - \eta_b\]

  • For factorization to be true (\(f_2(\Delta \eta) = 1\)) \( \rightarrow \) need at least a \(  \eta \)-gap of 2.                         

 

Figure: Factorization from Pb-Pb 5.02 TeV data.

Figure: Factorization from Pb-Pb 5.02 TeV  AMPT w. String Melting.

estimating factorising          limit

\( \Delta \eta \)

  • Reference particles are chosen from the TPC.
  • FMD: \( |\Delta \eta|  > 2 \)
  • TPC:  \(|\Delta \eta| >  0\)
  • Example: \( v_n' \) in region B is calculated by, (assuming no decorrelation)

TPC

FMD

FMD

v_n^{'B} = \frac{\langle v_n^{'B} v_n^C \rangle }{\sqrt{\langle v_n^B v_n^C \rangle } }

TPC

FMD

FMD

  • Reference particles are chosen from the FMD.
  • FMD: \( |\Delta \eta| > 4\)
  • TPC:  \(|\Delta \eta| >  2\)
  • Example: \( v_n' \) in region B is calculated by, (assuming no decorrelation)
v_n^{'B} = \frac{\langle v_n^{'B} v_n^D \rangle }{\sqrt{\langle v_n^A v_n^D \rangle } }

sub-events with pseudorapidity gap

Figures: Beginning of arrow is differential region, end of arrow is reference region

Secondaries in the forward multiplicity detector

Figure: Multiplicity densities of charged particles hitting the SPD and FMD in a HIJING simulation with GEANT3 as transport code for 0 − 5% central events.

distribution of secondary particles from material

  • Signal contamination from material interactions (secondaries)
  • Dilute observation of \( \varphi \)
  • No tracking
    • need other method to deconvolve signal

Secondaries distributed around primaries: $$P(\varphi') = f(\varphi) \circ P(\varphi)$$

Observed in the detector: \(  \Delta \varphi' = \varphi_1' - \varphi_2\)

 

 

 

 


 

\begin{aligned} \langle \langle v_n' v_n \rangle \rangle^{measured} &= \mathcal{F}(f(\varphi) \circ P(\varphi_1) \circ P(\varphi_2) )\\ &= \mathcal{F}(f(\varphi)) \cdot \mathcal{F}(P(\varphi_1) \circ P(\varphi_2) )\\ &= \mathcal{F} (f(\varphi)) \cdot \langle \langle v_n' v_n \rangle \rangle^{true} \end{aligned}

If we know \(\mathcal{F}(f(\varphi)) \) we can extract \( \langle \langle v_n' v_n \rangle \rangle^{true} \)

smearing by secondary particles

Figure: Illustration of smearing in \( \varphi \) by secondary particles

  • \( \Delta \phi \) of observed secondary particle to primary particle
  • Fourier transform \( f(\varphi) \) for each vertex and \( \eta \) bin

Figure: Distribution of a secondary particle around its primary mother particle. Plots are shifted by a constant.

Figure: Correction values to \( v_2 \)

distribution of secondaries around primary particles

results

pb-pb

two particle cumulant with small eta-gap

Figure: \( v_n\{2,|\Delta \eta| > 0\}\) as a function of \( \eta \).

NEW

  • Ordering of harmonics \( v_2 > v_3 > v_4 \)

  • \( v_n \) increasing from 0 - 40 %

  • Wide range in \( \eta \) shows \( v_n \) decreasing as a function of \( | \eta | \)

two particle cumulant with small eta-gap

Figure: \( v_n\{2,|\Delta \eta| > 0\}\) as a function of \( \eta \).

NEW

  • Ordering of harmonics \( v_2 > v_3 > v_4 \)

  • \( v_n \) increasing from 0 - 40 %

  • Wide range in \( \eta \) shows \( v_n \) decreasing as a function of \( | \eta | \)

  • AMPT w. String Melting [Lin, Zi-Wei et al. Phys.Rev. C72 (2005)]
    • describes the data qualitatively, but not quantitatively

Figure: \( v_2\{2,|\Delta \eta| > 2\}\) and \(v_2\{4,|\Delta \eta| > 0\}\) as a function of \( \eta \).

  • Introducing 4-particle cumulant and 2-particle cumulant w. a large \(  \eta \)-gap
  • Flat shape \( \rightarrow \) Implies small \(  \eta \)-gap in central heavy ion collisions might not be enough:
    • to suppress non-flow
    • for factorization

4-particle cumulant and 2-particle cumulant with a large eta-gap

NEW

Figure: \( v_2\{2,|\Delta \eta| > 2\}\) and \(v_2\{4,|\Delta \eta| > 0\}\) as a function of \( \eta \).

4-particle cumulant and 2-particle cumulant with a large eta-gap

NEW

  • Introducing 4-particle cumulant and 2-particle cumulant w. a large \(  \eta \)-gap
  • Flat shape \( \rightarrow \) Implies small \(  \eta \)-gap in central heavy ion collisions might not be enough:
    • to suppress non-flow
    • for factorization
  • AMPT w. String Melting [Lin, Zi-Wei et al. Phys.Rev. C72 (2005)]
    • describes the data qualitatively, but not quantitatively

summary and overview

  • \(v_n (\eta)\) with Pb-Pb 5.02 TeV in a wide range in pseudorapidity
  • \( v_n \) measured w. large gap and 4-particle cumulant: more flat shape than \( v_n \) w. a small gap
  • AMPT has qualitative agreement, but improvements are needed

  • Future comparisons to 3+1D hydrodynamic calculations:

    • can constrain the initial state models

    • study longitudinal dynamics of the created hot and dense matter

summary

back-up slides

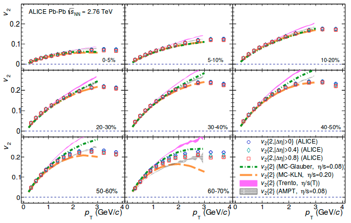
Figure: \( p_T\) differential flow measurements. 

[ALICE Collaboration, JHEP 1709 (2017)]

  • FMD measure all charged particles, i.e. \( p_T > 0 \) GeV/c
  • TPC measure charged particles with
    \( p_T > 0.2 \) GeV/c
    • additional cut \(p_T < 5\) GeV/c
  • This will increase flow in TPC, wrt. the FMD
    • is corrected with MC

momentum in the fmd and tpc

Figure: Data points: \( v_n \{ 2\},|\Delta \eta|> 0 \) in Pb-Pb 5.02 TeV.
Boxes: Standard Q-cumulant \( v_n \{ 2\} \) from [ALICE Collaboration,
Phys.Lett. B762 (2016)
] in Pb-Pb 2.76 TeV.

pseudorapidity dependence on vn in pb-pb 2.76 tev

Figure: Data points: \( v_2 \{ 2\},|\Delta \eta|> 2 \) and \( v_2 \{ 4\},|\Delta \eta|> 0 \) in Pb-Pb 5.02 TeV.
Boxes: Standard Q-cumulant \( v_2 \{ 2\} \) and \( v_2 \{ 4\} \) from [ALICE Collaboration, Phys.Lett. B762 (2016)] in Pb-Pb 2.76 TeV.

  • Analysis repeated in \( \eta \)
    • \( \Delta \eta \) of observed secondary particle to primary particle
    • Fourier transform \( f(\eta) \) for each vertex and \( \varphi \) bin
  • Width of peaks are constant at 0.02

secondaries in the fmd

Figure: Widths of peaks of the distributions.

Figure: Distribution of a secondary particle around its primary mother particle. Plots are shifted by a constant.

secondaries in the fmd - correction to v3 and v4

Figure: Correction to \(v_3\) for the contamination of secondary particles in the FMD.

Figure: Correction to \(v_3\) for the contamination of secondary particles in the FMD.